CP056 – Xếp giấy
Bài viết nầy không phải để chỉ độc giả cách xếp máy bay, ghe tàu, bươm bướm, v v … bằng giấy như trong Origami! Thuận Hoà muốn trình bày một công việc rất đơn giản mà chắc chắn độc giả đã có lần làm qua là “Xếp một tờ giấy làm hai”!
Công việc nầy đơn giản đối với phần đông chúng ta, nhưng thật ra không đơn giản đối với những người có đầu óc hay tìm tòi như các nhà toán học!
OK! xếp tờ giấy làm hai thì dễ rồi, nhưng nếu tôi cứ tiếp tục xếp tờ giấy đã xếp trước làm hai nữa thì đến bao giờ thì tôi không thể tiếp tục được nữa?!
Câu trả lời nhanh mà không sai là “Không biết”! Cũng dễ giải thích thôi, vì số lần xếp giấy tối đa tuỳ thuộc rất nhiều yếu tố như: bề dày, bề rộng, chất lượng, độ bền chắc của vật được xếp và cả sức lực của một hay nhiều người tham dự!

Hình trên cho thấy tờ giấy A4 được xếp 3, 4, 5 và 6 lần. Có người cho là với tờ giấy in A4, số lần xếp tối đa là 6, nhưng với tờ giấy đi cầu, số đó là 9!.
Thành thử, sau cùng, số lần xếp tối đa trở nên một”thành tích” để được ghi vào Guiness Book!
Vật liệu bằng chất gì cũng được, giấy, vải, lụa, vv.. rộng bao nhiêu cũng được, bao nhìêu người tham gia cũng được, có cần xe hủ lô giúp ép xuống cũng được, miễn xếp được nhiều lần nhất là đáng ghi vào sử sách!
Tháng 4 năm 2005, cô gái Britney Gallivan đã đạt được một thành tích với 12 lần xếp. Thành tích nầy đã được trình chiếu trên đài truyền hình CBS.
Britney cũng đạt được 12 lần xếp với một lá vàng dát mỏng.
Britney đạt được các thành tích đó nhờ vào một phương pháp đặc biệt là tuần tự thay đổi hướng xếp. Phương pháp nầykhông áp dụng được khi xếp một băng dài chất liệu.
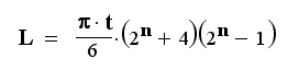
Britney đã nghiên cứu tìm hiểu lý do tại sao có một giới hạn trong các cách xếp giấy. Số lần xếp lớn nhất trong cách xếp theo cùng một hướng nằm trong công thức:
trong đó
L: Chiều dài của băng chất liệu phải xếp
t: Bề dày của băng chất liệu phải xếp
n: Số lần xếp có thể thực hiện được
Cách xếp bằng cách tuần tự thay đổi hướng thì công thức là:
W là cạnh của tờ giấy vuông có bề dày t có thể xếp đến n lần bằng cách tuần tự thay đổi hướng xếp . Với một tờ giấy không vuông, công thức trên cũng cho một cách chính xác số lần xếp tối đa.
Britney tìm được các công thức về số lần xếp lớn nhất vào tháng 12 năm 2001 và đạt được 12 lần xếp vào tháng Giêng năm 2002, trong lúc còn là học sinh trung học.
Một kỷ lục về số lần xếp giấy
Tháng Tư năm 2011, một nhóm 15 học sinh trung học trường St. Mark’s ở Southborough, Mass., dưới sự hướng dẩn của thầy giáo Tanton, đã đạt được 13 lần xếp theo một hướng không đổi một băng giấy đi cầu dài 13,000 feet (gần 4,000 m) tại hành lang thật dài của Viện Đại học Kỹ thuật Massachusett (MIT), vượt qua kỷ lục 12 lần xếp giấy năm 2002 của Britney Gallivan.
Tại sao xếp giấy lại khó khăn đến thế ?
Lần xếp giấy thứ nhất, xấp giấy có 2 tờ. Lần thứ hai, 4 tờ; lần thứ ba, 8 tờ. Sau lần xếp thứ n, xấp giấy có 2n tờ, tức là số tờ giấy trong xấp tăng theo luỹ thừa 2 của các lần xếp giấy.
Xếp tờ giấy A4 làm hai 7 lần, xấp giấy sẽ dày như một cuốn sổ tay; 10 lần, xấp giấy sẽ dày như bàn tay; với 17 lần (giả sử xếp được) xấp giấy sẽ cao hơn một căn nhà trung bình; xếp thêm 3 lần nữa, xấp giấy sẽ cao như tháp Sears; xếp thêm 10 lần nữa, xấp giấp sẽ vượt qua khỏi lớp khí quyển bao quanh địa cầu. Với 100 lần xếp, xấp giấy sẽ dày bằng bán kính của vũ trụ!
* * *
Bài toán xếp giấy làm Thuận Hoà nhớ đến một câu chuyện cổ Ấn Độ. Thuở đó, có một ông vua cai trị một xứ thật phồn thịnh, mọi ngưới dân đều giàu có, sống hạnh phúc an lạc. Một bữa nọ, nhà vua chợt thấy có một người hành khất đi lang thang ngoài đường, bèn gọi lại và bảo sẽ cung cấp quần áo, vật dụng, thức ăn để người hành khất mau mau qua xứ khác. Người hành khất lạy tạ nhà vua nhưng từ chối phầm vật vua ban chỉ xin vua một đặc ân nhỏ là ”mỗi ngày chỉ xin vua ban cho gạo, ngày thứ nhất 1 hạt, ngày thứ hai 2 hạt, số hạt gạo mỗi ngày gấp đôi số hạt gạo của ngày hôm trước!”.
Nhà vua thấy yêu cầu của người hành khất thật nhỏ nhoi nên chấp thuận ngay! Độc giả chắc biết chuyện gì đã xảy ra! Đến ngày thứ 30, nhà vua phải xuất kho 35 tấn gạo cho người hành khất và vài ngày sau đó thì nhà vua tuyên bố “bankrupt” !!!
Thuận Hoà


Leave a comment